资环所生物炭消减土壤重金属污染研究取得新进展
近日,资环所在国际著名期刊Agriculture, Ecosystems & Environment发表题为Combined biochar and soda residues increases maize yields and decreases grain Cd/Pb in a highly Cd/Pb-polluted acid Udults soil(JCR一区,IF5.567)的研究论文,阐述了在生物炭和碱性材料配合施用消减土壤重金属污染研究方面取得的新进展。魏岚为第一作者,黄玉芬为共同第一作者,刘忠珍研究员为通讯作者。
生物炭作为一类具有强吸附能力和稳定性的新型吸附材料,可以降低重金属的可迁移性和生物可利用性,在环境污染修复领域有重要的应用前景。碱性废弃物材料因其成本低廉效果良好也受到众多学者关注,但两者配施效果如何,施用一次可以持续钝化重金属的时间尚不清楚。
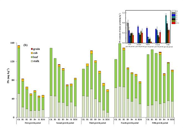
资环所环境化学研究团队通过近三年田间定点试验确证了生物炭和碱性无机材料配合施用对酸性土壤重金属污染危害的持续消减效果。通过在韶关酸性土壤重金属污染农田开展的三年定点小区试验表明,高用量生物炭(30吨/公顷)可以有效持续促进玉米生长,并且降低玉米对重金属的吸收,和无机碱性材料配合施用时可取得更好的效果,且大幅度降低生物炭使用量(10吨/公顷),成本降低。生物炭和无机碱性材料配合施用显著提高了土壤pH值和总有机碳水平,分别提高了约0.68–1.44个单位和16.2–30.3%,镉/铅的有效性分别降低了52.4%–68.6%和28.3%–40.8%。此外,该田间试验的成本分析表明,将生物炭和碱渣组合应用于污染土壤具有经济效益,但单独应用生物炭则没有经济效益。本研究为生物炭基土壤调理剂产品的研发提供数据支撑。
该研究得到了国家重点研发计划项目(2017YFD0801300),高水平农业科学院科技创新战略建设专项资金(R2016PY-QY010, R2016PY-JX006),国家自然科学基金(41571313),广东省自然科学基金(2016A030313772)等项目的支持。
论文链接
//www.sciencedirect.com/science/article/pii/S0167880920303844

Biocharor/andsoda residues applicationto high-cadmium/lead-contaminated acid Udults soil increases maize yields and decreases grain cadmium contents


Effects of soil amendment additions on the Cd (a) and Pb (b) contents in maize tissues during different growth periods. CK, B1, B2, B3, B4, M and B2M represent amendment application doses of 0, 5 t·hm−2 biochar, 10t·hm−2 biochar, 20t·hm−2 biochar, 30 t·hm−2 biochar, 3 t·hm−2 soda residues and 10t·hm−2 biochar+3 t·hm−2 soda residues, respectively.

手机版

微信


