足球博彩平台

手机版
手机版二维码
微信
手机版二维码
  主页 > 科学研究 > 科研进展

植保所在番茄黄化曲叶病毒致病机制研究方面取得新进展

时间:2025-01-20 18:39 来源:植保所 【字体:

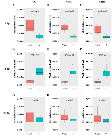
  近日,植保所蔬菜病害防控研究团队在国际期刊Molecular Plant Pathology(中科院农林科学一区Top,IF=4.8)发表题为“Characterisation of a betasatellite associated with tomato yellow leaf curl guangdong virus and discovery of an unusual modulation of virus infection associated with C4 protein”的研究论文,揭示了广东番茄黄化曲叶病毒编码的C4蛋白调控病毒侵染的新机制。植保所为论文唯一完成单位,李正刚副研究员和汤亚飞研究员为论文的共同第一作者,何自福研究员为论文通讯作者。

  番茄黄化曲叶病是制约番茄产业发展的重要病害之一,但其致病机制不明确。广东番茄黄化曲叶病毒 (tomato yellow leaf curl Guangdong virus, TYLCGdV) 是造成番茄黄化曲叶病在广东流行的主要病毒之一。本研究构建了TYLCGdV的侵染性克隆载体,发现TYLCGdV是一种伴随β卫星分子的单组分双生病毒,β卫星分子编码的βC1蛋白是病毒侵染必需的。进一步研究发现虽然TYLCGdV编码的C4蛋白不抑制基因沉默,但是可以通过调控病毒基因组甲基化水平来调控病毒的侵染,从而平衡病毒侵染与寄主生长发育之间的关系。本研究揭示了双生病毒编码的C4蛋白的新功能,加深了对番茄黄化曲叶病毒致病机制的认知。

  本研究得到国家自然科学基金(32272509,31801712)、广州市青年科技托举人才项目(QT20230101154)、亚洲足球体育博彩平台 中青年学科带头人(金颖之星)的资助。

  原文链接://bsppjournals.onlinelibrary.wiley.com/doi/10.1111/mpp.70051

图片1.png

图片2.png