资环所生物质炭调控外源有机碳周转的微生物驱动机制研究取得新进展
近日,资环所环境化学研究团队在生物质炭调控外源有机碳周转的微生物驱动机制研究取得新进展,相关研究以Biochar protects hydrophilic dissolved organic matter against mineralization and enhances its microbial carbon use efficiency为题发表在环境科学和生态学类一区top期刊Science of the Total Environment(JCR一区,IF7.963)上,团队成员博士后郑小东为第一作者,资环所刘忠珍研究员和佛山科技学院王海龙教授为共同通讯作者。
生物质炭具有较好的土壤固碳效应,已有研究证实了较高的稳定性、负激发效应是生物质炭促进土壤固碳的主要机制,然而生物质炭如何调控外源有机碳周转及其微生物驱动机制尚不清楚,这是研究生物质炭固碳机理的关键问题之一。
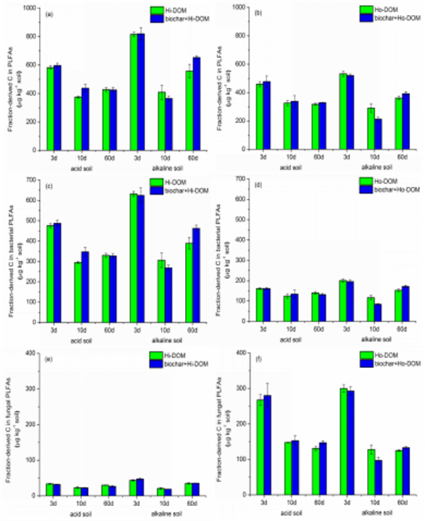
资环所环境化学团队借助13C稳定性同位素示踪技术,开展室内培养试验,探明生物质炭添加后13C标记的亲、疏水性可溶性有机碳(Hi-DOC、Ho-DOC)在酸性和中性土壤中的矿化和利用,旨在探明生物质炭如何影响外源有机碳在土壤中的周转及其微生物驱动机制。
本研究结果表明:(1)生物质炭能够保护Hi-DOC以减少其碳损失,该保护作用在中性土壤更为明显;(2)生物质炭并未影响Ho-DOC在两种土壤中的矿化;(3)生物质炭并未影响微生物对两种DOC的利用;(4)中性土壤中,生物质炭促进了Hi-DOC的微生物碳利用效率,但减少了Ho-DOC的微生物碳利用效率。这可能与两种DOC化学组成差异及其微生物偏好性有关。该结果为生物质炭调控外源有机碳周转的微生物驱动机制提供了依据,并为未来研究聚焦了方向。
该项研究得到了亚洲足球体育博彩平台
院长基金(BZ202001),国家自然科学基金(41571313,41807454),广东省科学技术研发计划(2019B121201003,2020A1414010312)等项目的支持。

Graphical Abstract

Mineralization of Hi- and Ho-DOC

Utilization of Hi- and Ho-DOC

Microbial carbon use efficiency of Hi- and Ho-DOC

手机版

微信


