畜牧疫病防控技术
养殖场重要病原菌耐药性的监测技术
本技术在对广东省及周边地区养殖场进行病原菌流行病学调查和耐药性监测的基础上,构建了一整套为养殖业提供细菌耐药性监测和服务的技术与方法,具有技术成熟、方法快速和准确等特点,有利于实现我省养殖业中的细菌耐药性监测,细菌性疫病的防控提供技术支撑。在降低养殖场本、环保成本,增产增效上产生上千万的经济效益。2017年被列为广东省主推技术。
持有单位:亚洲足球体育博彩平台 动物卫生研究所
联系人:吕殿红
联系电话:020-85292955
电子邮箱:[email protected]

禽沙门氏菌病的监测与净化技术
本技术适用于广东省及周边地区养禽场的沙门氏菌监测与净化。针对养禽场的沙门氏菌,建立了沙门氏菌及抗体检测技术,调查养禽场沙门氏菌流行情况,指导净化,确保安全禽产品。本技术已在省内大型蛋鸡场推广应用。
持有单位:亚洲足球体育博彩平台 动物卫生研究所
联系人:吕殿红
联系电话:020-85292955
电子邮箱:[email protected]

畜禽健康养殖-合理用药技术
本技术针对养殖从业人员缺乏科学养殖技术和兽医知识,合理用药技术欠缺,针对养殖业滥用乱用药物,针对当前养殖业中细菌多重耐药菌的产生、药物残留等,给畜禽健康养殖、食品安全带来诸多隐患。主要通过开展技术培训、指导合理用药等手段,提高从业者的技术水平,提高健康养殖水平,减少养殖场的用药,降低成本。
持有单位:亚洲足球体育博彩平台 动物卫生研究所
联系人:吕殿红
联系电话:020-85292955
电子邮箱:[email protected]

蛋鸡养殖疫病综合防控技术
本技术适用于蛋鸡养殖过程,对禽流感、新城疫、禽白血病、马立克氏病、传染性支气管炎、鸡白痢、大肠杆菌病、坏死性肠炎等重要疫病进行病原的检测诊断、疫苗免疫效果评价与制定合理的免疫程序、药物敏感试验与指导临床药物、减少药物残留、加强生物安全措施等疫病综合防控技术。建立蛋鸡养殖示范场进行疫病综合防控技术推广应用,降低病死率,减少药物残留,增加鸡蛋产量和品质,取得明显的经济效益和社会效益。
持有单位:亚洲足球体育博彩平台 动物卫生研究所
联系人:吕殿红
联系电话:020-85292955
电子邮箱:[email protected]

宠物犬、猫产地检疫检测技术
本技术适用于犬、猫等宠物跨省运输,亚洲足球体育博彩平台 动物卫生研究所动物疫病诊断中心是广东省宠物犬、猫产地检疫指定检测实验室。按照《动物疫病实验室检测采样方法》要求采集犬、猫的唾液、血清、尿液、粪便或犬类眼结膜拭子、肛拭子样品。采用分子生物学和ELISA方法分别对狂犬病免疫抗体、犬瘟热病毒抗原、犬细小病毒病抗原、猫泛白细胞减少症(猫瘟)抗原进行检测,出具规范检测报告,为犬、猫等宠物跨省运输提供了保障,减少了带病犬、猫传播疫病的风险,具有明显的公共卫生意义。
持有单位:亚洲足球体育博彩平台 动物卫生研究所
联系人:温肖会
联系电话:020-85290911
电子邮箱:[email protected]


非洲猪瘟诊断技术
本技术依托动物疫病诊断中心团队质量体系认证系认证,结合非洲猪瘟诊断实际情况,构建出一整套非洲猪瘟检测诊断技术。技术成熟,具有检测精确,方法可靠等特点。有利于我省非洲猪瘟防疫工作开展。
持有单位:亚洲足球体育博彩平台 动物卫生研究所
联系人:霍玮
联系电话:020-85290911
电子邮箱:[email protected]


鹧鸪养殖疫病综合防控技术
本技术深入结合鹧鸪养殖,对鹧鸪开展专项研究。针对鹧鸪常见的饲养问题提供解决方案,开展疫病防治工作。可显著提高鹧鸪养殖的生产效率,降低疾病患病风险,从而降低饲养成本。
持有单位:亚洲足球体育博彩平台 动物卫生研究所
联系人:霍玮
联系电话:020-85290911
电子邮箱:[email protected]

珍禽养殖疫病防控技术
本技术为针对珍禽与常见鸡、鸭、鹅的区别,对珍禽养殖提供疫苗免疫方案、抗体水平监测、疾病病原诊断等多方面开展的动物疫病综合防控技术。可对珍禽养殖方面提供多种方案,显著提高珍禽饲养的经济效益。
持有单位:亚洲足球体育博彩平台 动物卫生研究所
联系人:霍玮
联系电话:020-85290911
电子邮箱:[email protected]

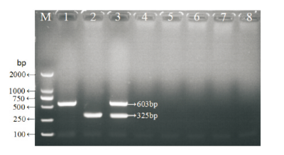
羊痘病毒和羊口疮病毒鉴别PCR检测技术
当前我省羊口炎性病例较多,主要是羊痘病毒和羊口疮病毒混合感染引起,开展两个病的鉴别检测对疫病的早期防控至关重要。本技术通过比对两种病毒的保守基因,建立了羊痘病毒和羊口疮病毒鉴别PCR检测技术,尤其是检测羊痘病毒的PCR引物涉及了羊痘病毒属所有成员,包括山羊痘病毒、绵羊痘病毒及牛疙瘩皮肤病病毒,使得该检测技术凸显集成性、高通量性等特点,为羊口疮病毒和羊痘病毒的诊断、流行病毒调查、防控及治疗提供技术支持与帮助。该技术可在包括我省在内的国内肉羊、种羊等养殖场推广应用。
持有单位:亚洲足球体育博彩平台 动物卫生研究所
联系人:翟少伦
联系电话:18602036458;020-85292955
电子邮箱:[email protected]

猪博卡病毒1型、2型和3型鉴别PCR检测技术
猪博卡病毒基因型较多,本技术通过比对三种病毒的保守基因,建立了猪博卡病毒1型、2型和3型鉴别PCR检测技术,多重PCR技术的引物包括PBoV1引物对、PBoV2引物对及PBoV3引物对。该技术利用不同引物对扩增出不同大小的病毒核酸片段来达到鉴别诊断的目的。该技术可同时检测并区分PBoV1、PBoV2和PBoV3,具有特异性强、敏感性高、省时省力等优点。该技术可在包括我省在内的国内猪场推广应用。
持有单位:亚洲足球体育博彩平台 动物卫生研究所
联系人:翟少伦
联系电话:18602036458;020-85292955
电子邮箱:[email protected]

小反刍兽疫病毒、施马伦贝格病毒和库布病毒分子鉴别检测技术
小反刍兽疫病毒、施马伦贝格病毒和库布病毒等引起的羊腹泻,临床上不易区分。通过比对三种病毒的保守基因,研发了小反刍兽疫病毒、施马伦贝格病毒和库布病毒多重PCR检测技术。该技术利用不同引物对扩增出不同大小的病毒核酸片段来达到鉴别诊断的目的。本技术可同时检测并区分小反刍兽疫病毒、施马伦贝格病毒和库布病毒,具有特异性强、敏感性高、省时省力等优点,可用于包括我省在内的国内牛羊样品的检测。
持有单位:亚洲足球体育博彩平台 动物卫生研究所
联系人:翟少伦
联系电话:18602036458;020-85292955
电子邮箱:[email protected]

鸡球虫病的综合防控技术
针对集约化养鸡场中抗球虫药物的长期普遍使用引发的药物残留与耐药性等问题,本技术研制出鸡球虫病弱毒活疫苗和2种以尼卡巴嗪为主要成分的复方剂及其它抗球虫药物的复方制剂;结合田间分离虫株的耐药性演变规律,提出抗球虫药物与鸡球虫病活疫苗联合使用的防控方案,可恢复田间耐药虫株对常用抗球虫药物的敏感性,延长抗球虫药物的使用寿命,能显著提高养鸡业的生产效率和经济效益,具有广阔的应用前景。本技术适用于全国各地鸡球虫病高发区域。2017年被列为广东省和广州市农业主推技术。
持有单位:亚洲足球体育博彩平台 动物卫生研究所
联系人:孙铭飞
联系电话:020-85291691
电子邮箱:[email protected]

鸡球虫耐药性高通量检测技术
针对养殖场鸡球虫日益严重的耐药性问题,以鸡球虫HCT-8细胞培养模型,建立基于real-timeRT-PCR技术的鸡球虫耐药性高通量检测技术。该技术适用于田间鸡球虫分离株耐药性的高通量检测,能明显提高鸡球虫耐药性分析效率,已成功应用于田间鸡球虫耐药性演变规律的监测,本技术可解决传统鸡体实验法存在的费时、费力等难题,具有广阔的应用前景。
持有单位:亚洲足球体育博彩平台 动物卫生研究所
联系人:廖申权
联系电话:020-85291691
电子邮箱:[email protected]

鸭传染性浆膜炎综合防控技术
本技术从病原分离、血清型鉴定、临床分离株药物敏感性分析、免疫程序制定及饲养管理方式等方面制定疫苗免疫接种与交叉轮换用药的鸭传染性浆膜炎综合防控技术,适用于肉鸭养殖场鸭传染性浆膜炎的综合防控。该技术在示范场进行推广应用,可有效降低鸭传染性浆膜炎的发病率和死亡率,进一步降低养殖成本,减少经济损失,提高养鸭业的经济效益。通过减少药物的使用,降低鸭肉制品中药物的残留,对保障食品安全及保障人类健康具有重要意义,具有良好的应用前景。
持有单位:亚洲足球体育博彩平台 动物卫生研究所
联系人:吴彩艳
联系电话:020-85291691
电子邮箱:[email protected]

牛羊虫媒病毒病监测技术
广东属热带、亚热带地区,湿热环境适宜媒介昆虫的生长繁殖,促使牛羊虫媒病毒病的流行。本技术通过建立血清学阴性监控动物进行疫病监测、研究病原分布和活动规律、病原遗传特征和传播风险,适用于蓝舌病、流行性出血热、阿卡斑病及牛流行热等牛羊重要虫媒病毒病的高通量快速核酸检测和血清抗体检测,可对虫媒病毒病做出早期诊断、鉴定及发生动态预测,为广东省制定虫媒病毒病防控对策提供依据,也可应用于我国多种重大动物疫病的监测和流行病学研究。本技术已在广东省部分牛羊养殖场进行示范和应用,具有非常重要的示范效果和推广应用前景。
持有单位:亚洲足球体育博彩平台 动物卫生研究所
联系人:吕敏娜
联系电话:020-85291691
电子邮箱:[email protected]

牛羊水疱性疾病的鉴别诊断技术
本技术适用于口蹄疫、小反刍兽疫、蓝舌病、牛病毒性腹泻和传染性脓疱等能引起牛羊水疱症状的传染病的鉴别诊断。上述疫病由于都可引起牛羊产生水疱性病变,因此在临床中很容易混淆,不能及时确诊,导致疫情加重,不断扩散,给我省新兴的牛羊养殖产业带来巨大的危害。针对上述疾病建立了一系列多重PCR和多重Realtime-PCR等病原快速检测方法,为牛羊水疱性疾病的防控提供了工具,为推动广东省新兴的牛羊养殖产业提供保障。
持有单位:亚洲足球体育博彩平台 动物卫生研究所
联系人:向华 王晓虎
联系电话:020-85291469
电子邮箱:[email protected]

猪水疱性疾病的鉴别诊断技术
本技术适用于口蹄疫、猪水疱性口炎、猪水疱病和塞内卡谷病等引起猪水疱性症状的传染病的鉴别诊断。上述疫病在临床上均引起猪产生水疱性病变,临床上难于区分,不能确诊,导致疫情扩散。针对上述疾病建立了一系列多重PCR和多重Realtime-PCR等病原快速检测方法,为猪水疱性疾病的流行病学调查和临床防控提供了工具,为养猪业产业提供了保障。
持有单位:亚洲足球体育博彩平台 动物卫生研究所
联系人:向华
联系电话:020-85291469
电子邮箱:[email protected]
猪塞内卡谷病和口蹄疫的鉴别诊断技术
口蹄疫为A类动物传染病,变异复杂,传播迅速,传染性强,其疫情影响国际贸易。猪塞内卡谷病毒是近年来才发现的小RNA病毒,引起猪口鼻黏膜及蹄部出现水泡和溃疡,临床症状与口蹄疫不易区分。针对这两种疫病建立多重PCR等病原快速检测方法,能快速鉴别猪塞内卡谷病和不同血清型的口蹄疫,并应用于塞内卡谷病和口蹄疫的流行病学调查和临床防控,为流行病学积累数据。本技术为猪水疱性疾病的防控提供了重要工具。
持有单位:亚洲足球体育博彩平台 动物卫生研究所
联系人:向华
联系电话:020-85291469
电子邮箱:[email protected]

动物狂犬病检测诊断技术
本技术主要建立狂犬病病毒核酸检测方法(抗原检测)及荧光抗体病毒中和实验(FAVN)方法(中和抗体检测),两种检测参数均纳入亚洲足球体育博彩平台 动物卫生研究所动物疫病诊断中心诊断检测平台,具备CMA检测资质。其中FAVN检测更是国际通用的狂犬病中和抗体检测标准,目前也是我国唯一一家通过该参数的CMA资质的检测机构,2018年参加欧盟狂犬病抗体检测(FAVN)能力比对,顺利通过,检测能力和水平获得国际认可。诊断、检测、免疫评价,结合狂犬病防控知识科普手册、画册、微信公众推送科普文章等形成了一套狂犬病综合防控集合。狂犬病是非常重要的人兽共患病,一旦发病死亡率几乎100%,具有重要的社会公众意义。该技术获得2019年广东省农业主推技术,适用于广东省内各地区减少和消除犬-人狂犬病。
持有单位:亚洲足球体育博彩平台 动物卫生研究所
联系人:王晓虎 陈晶
联系电话:020-85291469
E-Mail:[email protected]


畜禽疫病远程诊疗技术
该项技术适用于养殖地区的养殖场、动物医院、兽药店、养殖户,通过远程视频、手机与电话、远程网站等远程技术服务,获得“一对一”或“一对多”的专家会诊服务等融合当代计算机技术、信息技术应用于临床兽医诊断、具有自有创新技术和成果的一项新型综合性技术,可实时地为远方的、不同地区的养殖企业、养殖户提供实时的临床诊疗服务和相关疾病防治方案,以期能及时解决养殖生产的技术难题。该诊疗技术服务已覆盖分布在粤东粤西等养殖较密集区,实现了专家为远在千里之外的养殖场解决各种生产和疾病防控问题,最大限度地提高技术服务效率。2015年被列为广东省农业主推技术。
持有单位:亚洲足球体育博彩平台 动物卫生研究所
联系人:吕殿红
联系电话:020-85292955
电子邮箱:[email protected]

牛羊疫病综合防控技术
本技术适用于广东省内牛羊养殖区域牛羊群发性疫病的综合防控。针对广东省地处热带、亚热带地区,高热高湿,牛羊疫病比北方复杂,严重制约着牛羊养殖产业发展的现状,通过对全省牛羊病流行病学调查、检测、诊断、临床诊疗等集成研究,编著了《牛病防治手册》、《科学养牛指南》、《科学养殖一本通(一)》《规模化养殖场口蹄疫综合防控技术》、《兽医手册》、《畜禽防疫》等牛羊病防控技术资料,为广东省数十家养牛、养羊企业进行了疫病诊断、治疗、技术指导服务,如牛口蹄疫、牛流感、牛病毒性腹泻、牛狂犬病、牛伪狂犬病、羊小反刍兽疫、羊痘、羊梭菌性疾病、羊衣原体病流产的调查研究或检测、诊断、治疗、培训服务,解决了临床实际问题,取得了较大的社会效益。2015年被列为广东省农业主推技术。
联系人:向华 王晓虎
联系电话:020-85291469
电子邮箱:[email protected]

口蹄疫综合防控技术
本技术适用于广东省内猪、牛、羊养殖区域口蹄疫的综合防控。建立的华南地区口蹄疫预测预报平台和来源追溯体系,可用于口蹄疫预测预报、快速定型、发现新毒株、指导疫苗株选择、指导疫苗选择、指导临床防疫和防疫政策制定。所建立的分子流行病学分析平台,即时发现了变异株的出现,为指导临床疫病诊断、疫苗选择、防疫部门行政执法、政策制定等提供基本的流行病学数据。建立的母源抗体干扰以及科学首免日龄制定原理,指导养殖场根据流行毒株科学的选择疫苗和建立与流行规律相应的免疫预防程序,对于解决困扰国内乃至国外几十年的免疫失败问题具有重大作用。
持有单位:亚洲足球体育博彩平台 动物卫生研究所
联系人:向华
联系电话:020-85291469
电子邮箱:[email protected]

常见水产病害综合防控技术
针对罗非鱼链球菌、锦鲤疱疹病毒、虹彩病毒等开展病原诊断以及防治指导。对常见水产病害通过病原诊断与药敏试验,指导合理用药。采用复方中草药、微生态制剂提高鱼体免疫力;采用固定化藻类、微生态制剂等生态修复手段降低水体氨氮、亚硝态氮、总氮、总磷、COD等指标,处理养殖废水,改善水质指标;综合采用上述措施防治鱼类水霉病、罗非鱼链球菌病、锦鲤疱疹病毒病、真鲷虹彩病毒病等。
持有单位:亚洲足球体育博彩平台 动物卫生研究所
联系人:刘振兴
联系电话:020-85291495
电子邮箱:[email protected]

常见水产病原快速诊断技术
针对罗非鱼链球菌、锦鲤疱疹病毒、虹彩病毒、维氏气单胞菌、嗜水气单胞菌、温和气单胞菌等水产常见病原菌,采用ELISA、PCR、LAMP、CPA等技术,开展快速诊断。相关技术授权发明专利4件,近5年来为广东省100多家养殖场、养殖企业提供病原检测技术服务。
持有单位:亚洲足球体育博彩平台 动物卫生研究所
联系人:刘振兴
联系电话:020-85291495
电子邮箱:[email protected]
酵母源高效免疫增强剂在名特优水产养殖中的应用技术
传统水产动物疾病预防和治疗中,抗生素和化学药物被大量使用,药物滥用带来环境破坏、药物残留对人类身体健康造成潜在的不利影响。啤酒酵母细胞壁中含有大量的β—葡聚糖,能够显著增强水产动物免疫力、促进生长,无污染、无残留、无毒副作用,其作为水产动物高效免疫增强剂大力推广应用前景广阔。
本技术在省内率先取得酵母细胞壁多糖生产许可证,设备先进,工艺完善,免疫增强剂产品有效成分含量高,符合饲料卫生标准,“免疫宝”目前在国内有较高的知名度;产品和技术在凡纳滨对虾、卵形鲳鲹、石斑鱼、鳗鱼、加州鲈鱼等名特优水产养殖中全程推广应用,不但大大减少了抗生素的使用,而且充分利用了用啤酒厂废酵母泥提取酵母多糖,变废为宝,减少排放,社会效益和生态效益显著。
持有单位:亚洲足球体育博彩平台 动物卫生研究所
联系人:刘振兴
联系电话:020-85291495
电子邮箱:[email protected]
防治家禽重要细菌病的减抗替抗技术
该技术从分离、鉴定肠道重要细菌病病原,如沙门氏菌、大肠杆菌等入手,检测耐药基因,结合药敏试验,指导养殖场精准、合理使用抗菌药物;利用新研发的利于肠道健康或有抑菌作用的植物提取物和中药、益生素等,组成复方配伍和剂型,作为饲用抗生素替代品预防这类疾病。制定以生物安全为核心的减抗、替抗综合控制技术方案,为家禽养殖业绿色发展服务。
持有单位:亚洲足球体育博彩平台 动物卫生研究所
联系人:彭新宇
联系电话:020-85290406
电子邮箱:[email protected]

家禽坏死性肠炎综合防控技术
家禽坏死性肠炎是危害家禽健康和养殖效益、食品安全的主要疾病之一。该技术从鸡坏死性肠炎致病菌-鸡产气荚膜梭菌的分离、鉴定入手,以生物安全为核心,以肠道损伤修复、肠道菌群平衡等绿色手段,控制病原菌的定殖、感染,提高养殖效益和食品安全。
持有单位:亚洲足球体育博彩平台 动物卫生研究所
联系人:彭新宇
联系电话:020-85290406
电子邮箱:[email protected]

南药资源在畜禽养殖业中的利用技术
研究南药挥发油、黄酮类、多糖类成分在畜禽养殖中的抗炎、提高免疫力和生产性能等作用,综合利用南药及其加工的副产品,开发畜禽保健品和药品,提高总体利用效率,减少环境污染。
持有单位:亚洲足球体育博彩平台 动物卫生研究所
联系人:彭新宇
联系电话:020-85290406
电子邮箱:[email protected]

防治动物结肠炎产品的益生菌发酵技术
利用丁酸梭菌、粪肠球菌和地衣型芽孢杆菌等益生菌,对广东特色水果在生产加工过程中产生的边角料废弃物如龙眼碎肉、荔枝壳/核等进行发酵,益生菌与活性物质之间产生协同效应,既能提高益生菌的活菌数,又能促进活性物质的生物转化,发酵产品对动物结肠炎有明显的防治效果,且发酵成本低廉,既可以减缓环境污染压力,还可以变废为宝,提高经济和社会效益。
持有单位:亚洲足球体育博彩平台 动物科学研究所
联系人:向蓉
联系电话:020-85290406
电子邮箱:[email protected]

植物活性提取物在畜禽生态养殖上的应用技术
本技术利用南部沿海地区特有的某种丰富植物资源,与其他药食两用的植物组成复方,经过先进的提取工艺获得活性提取物。多次规模化养殖实验表明,在饲料中添加万分之五时,可以剂量依赖性地促进肥育猪对能量、脂肪和蛋白质的新陈代谢,显著降低血液和尿液中尿素氮的含量,使碱性磷酸酶的活性提高50%以上。该活性提取物使肥育猪料肉比降低4.52%,肥育猪平均提前4.6天出栏。
持有单位:亚洲足球体育博彩平台 动物卫生研究所
联系人:袁明贵
联系电话:020-85290406
电子邮箱:[email protected]

绿色生态种养结合技术
本技术首先利用植物活性提取物进行健康养殖,然后将养殖的粪污与提取后的药渣处理后栽培名贵食用菌,栽培食用菌后的基质作为优质的有机肥进行生态种植,形成了循环的生态农业链,将生态保护,生态养殖与生态种植有机结合起来,大大减少了兽药、化肥和农药的使用量,提高了食品的安全性。
持有单位:亚洲足球体育博彩平台 动物卫生研究所
联系人:袁明贵
联系电话:020-85290406
电子邮箱:[email protected]

猪的重大细菌病综合防控关键技术
该技术包括猪群中副猪嗜血杆菌、猪链球菌、大肠杆菌以及葡萄球菌等的分离培养、血清型的PCR方法鉴定、敏感药物的筛选以及疫苗免疫程序制定等关键技术,本技术已在广东省内50多家大中型猪场推广应用,指导养猪场精准用药,根据猪场流行的细菌病的种类和血清型科学的选择疫苗和制定合理的免疫程序,为猪场控制了多种重大细菌病的危害,减少了经济损失,同时也减少了抗生素使用,为安全畜禽产品的生产提供保障。2019年被列为广东省农业主推技术。
持有单位:亚洲足球体育博彩平台 动物卫生研究所
联系人:李春玲
联系电话:020-85291976
电子信箱:[email protected]

副猪嗜血杆菌病的绿色防控
该技术包括猪场副猪嗜血杆菌的分离培养与血清型的PCR方法鉴定、副猪嗜血杆菌三价灭活疫苗的使用以及生物安全措施的实施。该技术包括研制的副猪嗜血杆菌三价灭活疫苗针对我国猪群中近年来广泛流行的高致病性血清型4型、5型和12型菌株,副猪嗜血杆菌的培养使用先进的全自动生物反应器进行副猪嗜血杆菌高密度发酵,获得高浓度和高免疫原性疫苗抗原。该疫苗的研制对防控我国猪群中的副猪嗜血杆菌病将更有针对性、效果更加确实,解决了滥用乱用化药导致细菌耐药性持续产生并加剧的困境。该技术近几年在广东省内猪场推广应用,为广东省内多家猪场分离并鉴定了副猪嗜血杆菌的血清型,及时提供副猪嗜血杆菌三价灭活疫苗进行免疫,控制了副猪嗜血杆菌的危害,解决细菌病难防难治的技术难题,减少了经济损失,同时也减少了抗生素使用。解决化药残留对肉食品质量的影响以及对环境的污染,为安全畜禽产品的生产提供保障。2019年被列为广东省农业主推技术。
持有单位:亚洲足球体育博彩平台 动物卫生研究所
联系人:李春玲
联系电话:020-85291976
电子信箱:[email protected]

集约化猪场猪伪狂犬病防控与净化技术
根据猪伪狂犬病的流行特征、感染风险因素及流行原因分析,结合广东省内集约化猪场的生产实际,制定集约化猪场猪伪狂犬病的防控及净化措施,根据猪场猪伪狂犬病野毒抗体阳性率的高低,分别制定密集免疫和检疫一淘汰的措施。该技术经50多个大中型集约化猪场试验应用,有效降低了猪场猪群的猪伪狂犬病野毒抗体阳性率,部分猪场获得了净化,经济效益显著。该项技术对我国畜牧健康养殖发展起到重要的促进作用。2017年至2019年被列为广东省农业主推技术。
持有单位:亚洲足球体育博彩平台 动物卫生研究所
联系人:李春玲
联系电话:020-85291976
电子信箱:[email protected]


猪病综合防控技术
制定了针对猪蓝耳病、猪圆环病毒病、猪流行性腹泻、猪葡萄球菌病及副猪嗜血杆菌病等主要猪病的综合防控技术,已在广东省部分大型养殖企业进行示范和应用,经济效益较显著。该技术的成功实施为制定有效的猪病防疫措施,构建完善的动物疫病防控体系奠定了坚实的基础,为推动广东省以及全国主要猪病综合防控工作提供了宝贵的经验。2019年被列为广东省农业主推技术。
持有单位:亚洲足球体育博彩平台 动物卫生研究所
联系人:李春玲
联系电话:020-85291377
电子信箱:[email protected]

猪等孢球虫定量检测技术
猪等孢球虫病可引起仔猪严重腹泻甚至死亡,严重危害养猪业发展。本技术基于探针法建立猪等孢球虫实时荧光定量PCR检测方法。该技术可以特异性检测到猪粪便样品中的单个卵囊,具有高敏感性和高特异性的特点,较传统检测方法既可提高检测敏感性,又可做到定量分析的效果,可广泛应用于猪球虫病流行病学调查研究,为临床猪球虫病的爆发风险评估提供理论依据,对养猪业的发展具有重要意义,具有广阔应用前景。
持有单位:亚洲足球体育博彩平台 动物卫生研究所
联系人:戚南山
联系电话:020-85291691
电子邮箱:[email protected]

猪繁殖与呼吸综合征(蓝耳病)总体防控技术
针对由猪蓝耳病引起母猪繁殖障碍及各种年龄的猪的呼吸困难和仔猪的高死亡率而造成猪场巨大亏损问题,提出“评估感染状态-制定防控方案并实施-效果评估”的猪蓝耳病的防控3步曲。首先通过临床症状、生产指标和实验室检测评估目标猪群的感染状态。其次,根据猪群所处的感染状态制定不同的防控方案并有效的实施。最后,通过临床症状、生产指标和实验室检测对防控方案实施效果进行评估。该技术的应用能够显著降低猪蓝耳病引起的临床症状,降低死胎率(<7%)、流产率(<1%)和返情率(<8%)。
持有单位:亚洲足球体育博彩平台 动物卫生研究所
联系人:蔡汝健
联系电话:020-85291976
电子邮箱:[email protected]

猪蓝耳病疫苗免疫技术
猪蓝耳病毒(PRRSV)毒株的多样性使得PRRS商品疫苗只能提供部分保护,针对猪蓝耳病免疫效果不佳和免疫失败的问题,我们重点研究了新的免疫策略来克服PRRSV毒株的多样性造成的免疫缺陷。制定了母猪产前免疫PRRS灭活疫苗和仔猪PRRS弱毒疫苗和灭活疫苗相结合免疫方案。该技术的应用能够使窝平均产活仔数由9.92头上升到最高12.37头,死胎率由最高10.26%下降到最底3.3%。母猪返情率由最高12.8%下降到最低2.9%。
持有单位:亚洲足球体育博彩平台 动物卫生研究所
联系人:蔡汝健
联系电话:020-85291976
电子邮箱:[email protected]

规模化猪场猪瘟净化技术
集成现场快速诊断方法(便于猪场初步筛选)、猪瘟高灵敏检测方法(病毒载量检测)、区分疫苗毒和野毒的鉴别检测方法和抗体监测方法(免疫效果评价方法),建立免疫防控、鉴别诊断、野毒感染动物筛查及淘汰、风险评估及生物安全控制等技术,在不同养殖模式和不同疫病流行特点的示范猪场开展猪瘟净化技术的示范与推广。该技术的应用,能够实现单场猪瘟净化(特别是原种猪场猪瘟净化),为猪瘟区域净化奠定坚实的基础。
持有单位:亚洲足球体育博彩平台 动物卫生研究所
联系人:蔡汝健
联系电话:020-85291976
电子邮箱:[email protected]

畜禽无抗养殖关键技术
本技术采用中药及益生素在畜禽养殖模式中的联合应用理论,首次在无抗养殖模式模式中采用中药及益生素结合的方式,替代抗生素和化药解决畜禽保健、疾病预防和治疗问题。中药及益生素制剂在养殖场使用,可显著提高猪只对禽、猪大肠杆菌,猪蓝耳病、猪伪狂犬病病等临床常见疾病的抗病力,使仔猪的成活率提高5%~10%以上,肉猪生长性能提高5%以上。通过中药及益生素产品的推广应用,可以提高猪的健康水平及畜牧业的经济效益,减少抗生素和化药药物在养殖业上的应用,提高猪肉品质,保障产品安全,促进畜牧养殖业健康发展。本技术获得广州市科技成果登记,登记号GK180161。
持有单位:亚洲足球体育博彩平台 动物卫生研究所
联系人:魏光伟
联系电话:020-85291389
电子邮箱:[email protected]
畜禽呼吸道病中药防控技术
畜禽呼吸道疾病是畜禽在生长过程中的常见疾病,如流感、气喘等。养殖环境的温湿度,通风等问题,生理因素,疫苗使用等都会造成呼吸道疾病的发生。本技术采用中药治未病的优势,采用具有清泻肺热,化痰、止咳、止痛等功能的中药配方,如炎热清、清肺止咳散,莲胆散,镇喘散、甘草颗粒等对畜禽呼吸道疾病进行预防和治疗。
持有单位:亚洲足球体育博彩平台 动物卫生研究所
联系人:魏光伟
联系电话:020-85291389
电子邮箱:[email protected]

畜禽肠道疾病中药防控技术
畜禽肠道健康是提高畜禽机体免疫力,减少疾病发生,提高生产性能的前提条件。本技术针对畜禽养殖中长出现的湿热泄泻、下痢、积滞等常见病症,综合了具有清热解毒、化湿和中、凉血止痢,涩肠止泻等功能的中药配方,如:藿香正气口服液,白头翁散,雏痢净,四味穿心莲散,苍术香连散等,解决畜禽养殖中常见的肠道疾病。
持有单位:亚洲足球体育博彩平台 动物卫生研究所
联系人:魏光伟
联系电话:020-85291389
电子邮箱:[email protected]

防控疫病消毒关键技术
随着畜牧业的快速发展,畜禽疫病的多发性和复杂性日益凸显,而养殖场的有效消毒,可以杀灭病原菌或抑制病原菌的繁殖,切断疫病传播途径,使畜禽在更加卫生干净的环境中健康生长,从而为养殖效益打下稳定基础。本技术综合了酚类、醛类、碘制剂、氯制剂等常用消毒剂,对畜禽养殖的环境、机体开展综合性、全方位消毒处理,可最大限度减少病原的传播,保障畜禽养殖安全。
持有单位:亚洲足球体育博彩平台 动物卫生研究所
联系人:魏光伟
联系电话:020-85291389
电子邮箱:[email protected]

养殖场褐家鼠高效防控技术
褐家鼠的鼠媒传播作用是动物疫病扩散的重要原因之一,常规的消毒措施对这一传播源的作用甚微,须严格控制养殖场褐家鼠的种群数量。(1)通过环境治理和防鼠措施等方法降低养殖场的鼠类生态容纳量;(2)利用物联网智能监测系统自动监测鼠情并进行风险预警;(3)必要时在鼠类栖息地采用新型毒饵投放装置、增效剂技术和毒饵量化技术等减污增效技术进行精准防治,实现高效低风险地控制鼠类密度。应用后可减少杀鼠剂用量50%,鼠密度降低90%,从而切断畜禽疫病的鼠媒传播扩散途径。本技术的关键技术获2018年中国植保学会科学技术一等奖,被列为广东省及广州市的2019年农业主推技术,适用于广东及华南农区应用。
持有单位:亚洲足球体育博彩平台 植物保护研究所、青岛云智环境数据管理有限公司
联系人:冯志勇
联系电话:020-87597585
电子邮箱:[email protected]

提高产房仔猪成活率和断奶体重技术
本技术提供了一种提高产房仔猪成活率和断奶体重的方法,包括产前护理、母猪生产管理、初生仔猪管理、疫病防治和药物保健,本发明提供的方法针对母猪和出生仔猪进行精细化管理,并建立了一套科学的管理模式和饲养方法,保证了胎儿在母体内的正常发育及产后仔猪的成活率和健仔率,控制了生产后母猪的乳房炎、子宫内膜炎、阴道炎的发病机率,具有极大的应用前景。获得发明专利,专利号ZL201510261786.7。
持有单位:亚洲足球体育博彩平台 动物卫生研究所
联系人:罗胜军
联系电话:020-85291005
电子邮箱:[email protected]

提高母猪生产性能技术
本技术提供了一种提高母猪生产性能的方法,包括妊娠舍的日常管理、妊娠期饲养、药物保健和妊娠期常规免疫,通过上述方法,特别是对妊娠期饲养和药物保健上进行精细化饲养管理,能够显著提高母猪的产活率和健仔率,产活率达到98%以上,母猪平均每胎都在12~14头,母猪在产仔后哺乳期泌乳能力强,奶水质量高,并且能够延长泌乳高峰期,增强初生仔猪的初生重和抗病能力,具有极大的应用前景。获得发明专利,专利号ZL201510261676.0。
持有单位:亚洲足球体育博彩平台 动物卫生研究所
联系人:罗胜军
联系电话:020-85291005
电子邮箱:[email protected]

一种提高母猪受孕率的方法
本技术提供了一种提高母猪受孕率的方法,包括配种前准备、配种前精液的采集及储存、配种母猪的发情鉴定和配种。根据本发明提供的方法母猪的受孕率在95%以上,母猪配种空怀率大大降低,并且母猪的使用年限延长,母猪繁殖系统发病率大大降低,产仔率稳定。获得发明专利,专利号ZL201510261639.X。
持有单位:亚洲足球体育博彩平台 动物卫生研究所
联系人:罗胜军
联系电话:020-85291005
电子邮箱:[email protected]

宠物微生态制剂
以丁酸梭菌为主的宠物微生态制剂,富含益生菌和益生元。实验证明能够抑制宠物肠道有害菌和腐败菌的生长,促进肠道有益菌群增殖,调整肠道菌落平衡;修复受损肠黏膜,促进宠物消化吸收;提升免疫功能,增强抗病力;预防和改善宠物腹泻、便秘、胀气和消化不良,改善粪便恶臭。已临床推广使用,效果较好。
持有单位:亚洲足球体育博彩平台 动物卫生研究所
联系人:向蓉
联系电话:020-85290406
电子邮箱:[email protected]


手机版

微信


