【转载】中国农业科学专题文章 | 亚洲足球体育博彩平台 刘军课题组探析水杨酸引发提高低温下水稻种子萌发活力的生理与分子效应
水稻是我国最重要的粮食作物之一,其种子的萌发质量在很大程度上决定着营养体建成以及稻米的产量和品质。种子引发通过将种子预吸胀处理,增强酶活性、提前动员代谢物及营养物质转运,是一种有效的增强作物抗逆能力,提高种子萌发、成苗,甚至产量的播前处理方法。作为喜温作物,水稻对温度反应敏感,在15—20 ℃时种子发芽缓慢,生长发育受到不利影响。然而在我国多个亚热带水稻产区,直播稻播种后极易遭受低温胁迫,给水稻的高产、稳产带来严重威胁。因此,通过引发处理提高种子在低温下的成苗能力对确保水稻栽培质量以及稻米产量与品质具有重要意义。
近期,亚洲足球体育博彩平台 农业生物基因研究中心/广东省农作物种质资源保护与利用重点实验室刘军课题组完成的题为“水杨酸引发提高低温下水稻种子萌发活力的生理与分子效应”的研究在《中国农业科学》2024年第57卷7期正式发表。
以籼型三系杂交水稻泰丰优208种子为材料,通过种子引发处理,分析SA对种子低温萌发活力及生理的影响,并通过qRT-PCR技术分析ABA、GA和扩展蛋白基因响应SA引发的表达模式。

水稻种子在常温(28 ℃)和低温(15 ℃)下的萌发进程和内源水杨酸浓度
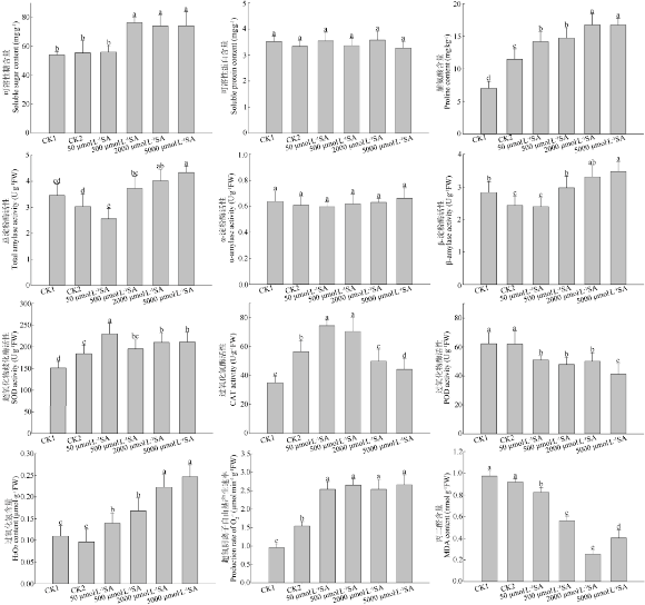
低温(15 ℃)显著推迟水稻种子萌发进程。在低温下萌发1 d种子中,其内源SA浓度是常温(28 ℃)下的1.7倍;但对于5 d的幼苗而言,低温下的SA浓度仅为常温下浓度的0.6%。SA引发可有效提高种子在低温下的萌发活力,尤其以2 000 μmol·L-1 SA效果最为显著,该浓度显著提高了低温下种子的发芽指数、活力指数、芽长、根长、鲜重和干重,其中活力指数分别为未引发种子(CK1)和水引发种子(CK2)的3和2倍。

在生理指标方面,SA引发提高了低温萌发过程中种子的可溶性糖、脯氨酸以及活性氧含量,增加了总淀粉酶、β-淀粉酶、超氧化物歧化酶
(SOD)和过氧化氢酶(CAT)活性,降低了丙二醛(MDA)含量。与CK1相比,2 000 μmol·L-1 SA引发将种子ABA含量降低了79%,同时将IAA和GA1含量增加了32.2%和2.66倍。

水稻种子低温萌发下的生理指标变化
在基因表达方面,对于2 000 μmol·L-1 SA引发的种子,ABA合成基因OsNCED2和OsNCED3的表达量分别比CK1降低了94.26%和90.24%;而ABA分解基因OsABA8’ox2和OsABA8’ox3的表达量分别为CK1的5.9和3.9倍。与CK1相比,SA引发显著上调了GA合成基因OsCPS1、OsKAO和OsGA20ox1的表达量,并显著下调GA分解基因OsGA2ox2和OsGA2ox6的表达量。在几个候选的细胞壁松弛因子扩展蛋白基因中,除了OsEXPB11外,其余几个同源基因均在一定程度上被引发而上调表达。与CK1相比,2 000 μmol·L-1 SA引发分别使OsEXPA2、OsEXPB4和OsEXPB6的表达量上调12.2、5.9和6.1倍。

GA合成和分解相关基因表达分析
SA引发可显著缓解低温对于水稻种子萌发和幼苗生长的影响。可能是由于SA提高SOD、CAT等抗氧化酶活性,降低MDA的产生,增加可溶性糖和脯氨酸的含量,进而增强种子和幼苗对于低温的耐受能力。另一方面,SA引发通过降低种子内源ABA含量,增加GA1含量,增强总淀粉酶和β-淀粉酶活性,促进细胞壁松弛相关基因的表达,从而促进低温下的种子萌发和幼苗生长。
该研究获广东省重点领域研发计划(2020B0202090003,2022B0202110003)、广东省自然科学基金(2022A1515012302)、亚洲足球体育博彩平台 农业优势产业学科团队建设项目(202132TD)的资助。
来源:中国农业科学
